课程内容
《认识二元一次方程组》
学习目标:
1、了解二元一次方程、二元一次方程组及其解等有关概念,并会判断一组数是不是某个二元一次方程组的解。
2、通过讨论和练习,进一步培养学生的观察、比较、分析的能力。
3、通过对实际问题的分析,使学生进一步体会方程是刻画现实世界的有效数学模型,培养学生良好的数学应用意识。
老牛说:累死我了!
小马说:你还累?这么大的个,才比我多驮了2个。
老牛说:我从你背上拿来1个,我的包裹数就是你的2倍。
小马说:真的?!
它们各驮了多少包裹呢?
老牛的包裹数-小马的包裹数=2个
老牛的包裹+1=(小马驮的包裹数-1)×2
设老牛驮了x个包裹,小马驮了y个包裹。
x-y=2
x+1=2(y-1)
昨天,我们8个人去红山公园玩,买门票花了34元。
每张成人票5元,每张儿童票3元。你们到底去了几个成人,几个儿童呢?
等量关系:成人人数+儿童人数=8
成人票款+儿童票款=34
如果设有x个成人,y个儿童,由此你能得到怎样的方程?
x+y=8
5x+3y=34
上面所列方程各含有几个未知数?2个未知数
含有未知数的项的次数是多少?次数是1
含有两个未知数,并且所含未知数的项的次数都是1的方程叫做二元一次方程。
练一练
1、请判断下列各方程中,哪些是二元一次方程,哪些不是?并说明理由。
(1)x+3y-9=0 (2)3x2-2y+12=0
(3)x2+y=20 (4)3x-1/y=1
(5)3a-4b=7 (6)2x+10=0
2、如果方程2xm-1-3y2m+n=1是二元一次方程,那么m=_____,n=_____。
议一议
方程x+y=8和5x+3y=34中,x的含义相同吗?y呢?
x,y的含义分别相同,因而x,y必须同时满足方程x+y=8和5x+3y=34,把它们联立起来,得:
像这样含有两个未知数的两个二元一次方程所组成的一组方程,叫做二元一次方程组。
注意:方程组各方程中同一字母必须代表同—个量。
试一试:请在自己的草稿纸上列举几个二元一次方程组。
练一练
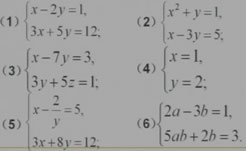
判断下列方程组是否是二元一次方程组:

做一做
(1)x=6,y=2适合方程x+y=8吗?
x=5,y=3呢?x=4,y=4呢?你还能找到其他x,y的值适合方程x+y=8吗?
(2)x=5,y=3适合方程5x+3y=34吗?
x=2,y=8呢?
(3)你能找到一组x,y值,同时适合x+y=8和5x+3y=34吗?
适合一个二元一次方程的一组未知数的值,叫做这个二元一次方程的一个解。
例如:x=6,y=2是方程x+y=8的一个解,记作
x=5,y=3是否为方程x+y=8的一个解?
x=5,y=3是否为方程5x+3y=34的一个解?
二元方程组中各个方程的公共解,叫做这个二元一次方程组的解。
练一练
1、在下列四组数值中,哪些是二元一次方程x-3y=1的解?

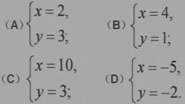
2、二元一次方程组
的解是( )

小结:谈谈本节课你的收获和体会。
1、方程是刻画现实世界的有效数学模型;
2、通过学习我们知道了含有两个未知数并且所含未知数的项的次数是1的方程叫做二元一次方程;两个二元一次方程所组成的一组方程叫做二元一次方程组;
3、通过学习我们还知道了适合一个二元一次方程的未知数的值叫做这个二元一次方程的一个解;而适合二元一次方程组中各个方程的公共解叫做这个二元一次方程组的解。
此内容正在抓紧时间编辑中,请耐心等待
马老师
男,中教高级职称
省级骨干教师,市教育学会会员,校教务科副科长,年级组长。广爱并济,善待每个学生,因此深受学生爱戴。
