2021年人教版数学六年级上册 第三单元 分数除法 3.4分数混合运算
一、判断题
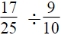
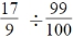
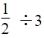
1. 分数四则混合运算的顺序与整数四则混合运算的顺序相同。( )
2. 在没有括号的算式里,先算乘除后算加减;有括号的要先算括号里面的。( )
3. 在分数混合算式中,要先算乘除法。( )
此内容正在抓紧时间编辑中,请耐心等待
裴老师
女,小教高级职称
十余年来一直从事小学数学教育,实际工作中,裴老师不懈努力、不停地探索、不断改进教学教法。
首页 > 人教版 > 六年级 > 数学 > 上学期 > 正文
2021年人教版数学六年级上册 第三单元 分数除法 3.4分数混合运算
1. 分数四则混合运算的顺序与整数四则混合运算的顺序相同。( )
2. 在没有括号的算式里,先算乘除后算加减;有括号的要先算括号里面的。( )
3. 在分数混合算式中,要先算乘除法。( )
此内容正在抓紧时间编辑中,请耐心等待
裴老师
女,小教高级职称
十余年来一直从事小学数学教育,实际工作中,裴老师不懈努力、不停地探索、不断改进教学教法。
六年级数学上册 第九章 9.2 总复习二
六年级数学上册 第九章 9.1 总复习一
六年级数学上册 第八章 8.1 数与形
六年级数学上册 第七章 7.2 选择合适的统计图
六年级数学上册 第七章 7.1 扇形统计图
六年级数学上册 第六章 6.7 整理与复习
六年级数学上册 第六章 6.6 稍复杂的百分数应用题
六年级数学上册 第六章 6.5 比一个数多百分之几的数是多少应用题
六年级数学上册 第六章 6.4 求一个数比另一个数多(少)百分之几
六年级数学上册 第六章 6.3 求一个数的百分之几是多少
六年级数学上册 第六章 6.2 百分率
六年级数学上册 第六章 6.1 认识百分数
六年级数学上册 第五章 5.10 整理和复习
六年级数学上册 第五章 5.9 扇形的认识
六年级数学上册 第五章 5.8 圆的面积及应用 练习
六年级数学上册 第五章 5.7 圆的面积应用
六年级数学上册 第五章 5.6 圆环的面积
六年级数学上册 第五章 5.5 圆的面积
六年级数学上册 第五章 5.4 圆的周长练习
六年级数学上册 第五章 5.3 圆的周长
评论
点此登录 后即可畅所欲言
[广东省广州市] 好
backup
2020-10-30 19:04:16
[广东省广州市] 老师很OK
backup
2020-09-04 19:21:51
[江西省宜春市] 好
Allen
2020-08-18 10:25:49
[江西省宜春市] 好
Allen
2020-08-18 10:14:17
[河南省] 太简单了呵呵
tz977934
2020-07-17 14:26:23
[黑龙江省七台河市] 懂了,老师讲的不错 简便了
tz327639
2020-07-17 09:49:27
[浙江省杭州市] good
学霸团队
2020-07-08 16:45:36
[湖北省] 不错
131****8811
2019-12-22 20:09:49
[江西省南昌市] 简便了
189****3252
2019-12-22 19:20:47
[江西省南昌市] 懂了,老师讲的不错
189****3252
2019-12-22 19:18:43
[四川省资阳市] 不错!
tz687833
2019-11-23 13:49:16
太好了
135****6122
2019-07-18 16:04:59
好
135****6122
2019-07-18 16:04:03