2021年人教版数学六年级下册 期末测试 基础卷
100分
试卷分数
60分
合格分数
60分钟
答题时间
试卷来源:同桌100学习网

*以下为主观题,系统不自动评分,请答题后自行估分。若没有估分,系统按满分计算。
×18=
+
=
÷
=
4÷
=
-25%= 


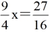
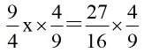
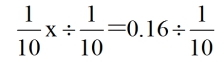
x=
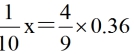
4x+7.3=47.3 0.36:x=
:



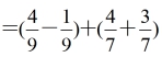
+
-
+










÷(8×2)
,这时得到利润240元。算一算,这批钢笔共有多少支?


