2021年人教版数学六年级下册 期末测试提优卷
100分
试卷分数
60分
合格分数
60分钟
答题时间
试卷来源:同桌100学习网

*以下为主观题,系统不自动评分,请答题后自行估分。若没有估分,系统按满分计算。
÷3=
×10= 2-
=
+10% =
5÷
=
×75% = 
8
0.2
0.8
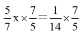
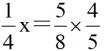
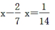
=1.5 x-
x=
:
=
:x






+
-
) 3.8-2.4×(75%-
)


。还剩下多少米没有修?
)
参加了美术兴趣小组,后来又有20人参加,这时参加的同学与未参加的人数的比是3∶4。六年级一共有多少人?
-
)
-
)