【此视频课程与人教版第1课的知识点相同,同样适用于华师大第2课,敬请放心学习。】
课本内容
《有理数的除法》
学习目标:
1、理解除法是乘法的逆运算;
2、掌握除法法则,会运行有理数的除法运算;
3、经历利用已有知识解决新问题的探索过程。
学习重点:有理数的除法法则
学习难点:理解商的符号及其绝对值与被除数和除数的关系
知识回顾:你能直接说出算式与结果吗?
1、小明从家里到学校,每分钟走50米,共走了20分钟,问小明家离学校有多远?
2、你能说出有关有理数的乘法的知识点吗?
3×5=15 (-3)×5=-15
(-3)×(-5)=15 3×(-5)=-15
两数相乘,同号得正,异号得负,并把绝对值相乘。
0×5=0 0×(-5)=0
任何数同0相乘,都得0
1/2×2=1 (-3/5)×(-5/3=1 0.25×4=1
探究新知
正数除以正数 8÷4=-2
负数除以正数 (-8)÷(-4)=2
零除以正数 0÷4=0
除以一个负数等于乘这个负数的倒数
归纳小结
除数不能为0
除以一个正数等于乘这个正数的倒数。
除以一个负数等于乘这个负数的倒数。
除以一个不等于0的数,等于乘这个数的倒数
a÷b=a.1/b(b≠0)
试一试

两数相除,同号得_____,异号得_______,并把绝对值相_____,0除以任何一个不等于0的数,都得______
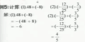
例题讲解

例6 化简下列分数:

练一练
化简下列分数:
(1)-72/9 (2)-30/-45 (3)0/-75
(4)-3/3 (5)15/-15
想一想
练习这类具体的数的除法,从中可以总结什么规律?
(-4)÷2 4÷(-2)
学习本节课后的收获和反思
有理数的除法是乘法的逆运算
有理数的除法法则:
除以一个不等于0的数,等于乘这个数的倒数
a÷b=a.1/b(b≠0)
两数相除,同号得正,异号得负,并把绝对值相除,除以任何一个不等于0的数,都得0
此内容正在抓紧时间编辑中,请耐心等待
赵老师
女,中教高级职称
高级教师职称。注重调动孩子的探索欲和求知欲,给其想象和尝试的空间,开拓孩子思维。
