课程内容:
《分式方程(1)》
情境问题:一艘轮船在静水中的最大航速为20千米/时,它沿江以最大航速顺流航行100千米所用时间,与以最大航速逆流航行60千米所用时间相等,江水的流速为多少?
定义:
,像这样,分母里含有未知数的方程叫做分式方程。以前学过的分母里不含有未知数的方程叫做整式方程。
探究:下面我们一起研究下怎么样来解分式方程:

注意:在解分式方程的过程中体现了一个非常重要的数学思维方法:转化的数学思想(化归思想)。
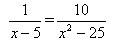
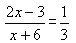
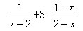
探索:解分式方程: 
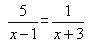
练习“解分式方程: 
总结:增根的定义。增根:在去分母,将分式方程转化为整式方程的过程中出现的不适合于原方程的根。即使分母值为零的根。
产生的原因:分式方程两边同乘以一个零因式后,所得的根是整式方程的根,而不是分式方程的根。因此解分式方程可能产生增根,解分式方程必须检验(代入最简公分母检验)。
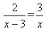
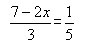
例1.解方程 
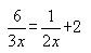
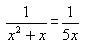
例2.解方程 
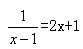
练习:解方程

补充练习:1.分式方程
的最简公分母是______________。
2.分式方程的特征是什么?对分式方程的根检验的方法有哪些?
3.如果
有增根,那么增根为______________。
4.下列方程中,不是分式方程的是( )
A.
B.
C.
D.
5.当m为何值时,方程
会产生增根?
此内容正在抓紧时间编辑中,请耐心等待
王老师
女,中教高级职称
省优秀教师,模范共产党员,学校先进工作者。在教数学的同时,她也是和同学们一起学数学,一起用数学。
