课程内容
第二十四章《一元二次方程》 24.1 一元二次方程
温故而知新
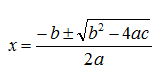
由求根公式解一元二次方程的两根,

两根之和,两根之积与方程的系数又具有怎样的关系?
一元二次方程根与系数的关系
对于一元二次方程ax2+bx+c=0,当b2-4ac≥0时,设方程的两根分别为x1,x2,请你猜想x1+x2 , x1x2 与方程系数之间的关系,利用求根公式验证你的结论。
如果一元二次方程ax2+bx+c=0的两根分别为x1,x2那么x1+x2=
,x1x2=
此内容正在抓紧时间编辑中,请耐心等待
武老师
女,中教高级职称
优秀的青年教师,具有丰富的教研和备考经验,所培养的学生中考成绩和数学竞赛成绩十分突出。
