课程内容:
《直线的两点式方程》
问题提出:1.直线的点斜式方程和斜截式方程分别是什么?平行于坐标轴的直线方程是什么?
点斜式:y-y0=k(x-x0)
斜截式:y=kx+b
2.在不同条件下有不同形式的直线方程,对此我们再作些探究。
探究(一):直线的两点式方程
思考1:由一个点和斜率可以确定一条直线,还有别的条件可以确定一条直线吗?
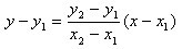
思考2:设直线l经过两点P1(x1,y1),P2(x2,y2),其中x1≠x2,y1≠y2,则直线l的斜率是什么?结合点斜式直线l的方程如何?
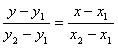
思考3:方程
写成比例式可化为
,此方程叫做直线的两点式方程,该方程在结构形式上有什么特点?点P1、P2的坐标满足该方程吗?
思考4:若两点P1(x1,y1),P2(x2,y2)中有x1=x2或y1=y2,则直线P1P2的方程如何?
探究(二):直线的截距式方程
思考1:若直线l经过点A(a,0),B(0,b),其中a≠0,b≠0,则直线l的方程如何?
思考2:直线l的方程可化为
,其中a,b的几何意义如何?
思考3:方程
叫做直线的截距式方程,过原点的直线方程能用截距式表示吗?
思考4:若直线l在两坐标轴上的截距相等,且都等于m(m≠0),则直线l的方程如何?
探究(三):中点坐标公式
思考1:已知x轴上两点P1(x1,0),P2(x2,0),则线段P1P2的中点P0的坐标是什么?
思考2:已知y轴上两点P1(0,y1),P2(0,y2),则线段P1P2的中点P0的坐标是什么?
思考3:已知两点P1(0,y),P2(x,0),则线段P1P2的中点P0的坐标是什么?
思考4:已知两点P1(x1,y1),P2(x2,y2),则线段P1P2的中点P0的坐标是什么?
例1.已知三角形的三个顶点A(-5,0),B(3,-3),C(0,2),求BC边所在直线的方程,以及该边上中线所在直线的方程。
例2.求经过点P(-5,4),且在两坐标轴上的截距相等的直线方程。
例3.已知直线l经过点P(1,2),并且点A(2,3)和点B(4,-5)到直线l的距离相等,求直线l的方程。
此内容正在抓紧时间编辑中,请耐心等待
岳老师
男,中教高级职称
执教以来,一直担任数学教学工作。在工作中注重对教学方法的探索,对教育方式的研究。
