课程内容:
《匀变速直线运动的位移与速度的关系》
复习:
1.匀变速运动的速度公式:v=v0+at
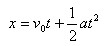
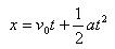
2.匀变速运动的位移公式:
例1.推动弹头加速运动时,若把子弹在枪筒中的运动看做匀加速直线运动,设子弹的加速度a=5×105次m/s2,枪筒长x=0.64m,求子弹射出枪口时的速度。
匀变速直线运动位移与速度的关系:
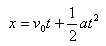
由位移公式:
又由速度公式:v=v0+at
以上两式消去时间t,得:
v2-v02=2ax(不涉及到时间t时,用这个公式方便。)
例2.匀变速运动的物体,初速度v0,经一段位移后速度变为vt。
证明:
。
例3.以12m/s速度运动的汽车,刹车后加速度为3m/s2,求:该车在5s内的位移是多少?
例4.一辆汽车原来匀速行驶,速度是24m/s,从某时刻起以2m/s2的加速度匀加速行驶。从加速行驶开始行驶180m所需时间为多少?
总结:匀变速直线运动规律:
1.速度公式:v=v0+at
2.位移公式:
3.位移与速度关系:v2-v02=2ax
此内容正在抓紧时间编辑中,请耐心等待
王老师
男,中教高级职称
长期从事高中物理教学工作,有丰富的教学经验,在教学中重视培养学生自我探究学习的能力。
