【此视频课程与人教版第16课的知识点相同,同样适用于鲁教版第1课,敬请放心学习。】
课本内容
《分式的乘除法》
情境
问题1
一个长方形容器的容积为V,底面的长为a,宽为b,当容器内的水战容积的m/n时,水高多少?
问题2
大拖拉机m天耕地a公顷,小拖拉机n天耕地b公顷,大拖拉机的工作效率是小拖拉机的工作效率的多少倍?
复习回顾
计算:(1)2/3x4/5 2/3÷4/5
分数的乘除法法则
两个分数相乘,把分子相乘的积作为积的分子,把分母相乘的积作为积的分母。
两个分数相除,把除式的分子分母颠倒位置后,再与被除式相乘。
例1 计算:
① 4x/3y·y/2x3
②ab3/2c2÷-5a2b2
例2 计算:
a2-4a+4/a2-2a+1 ·a-1/a2-4
1/49-m2÷1/m2-7m
想一想
下面的计算对吗?如果不对,应该怎样改正?
(1)-x/2b·6b/x2=3xb/x2b
(2)4x/3a÷a/2x=2/3
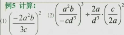
例3 计算:
2x/5x-3+3/25x2-9·x/5x-3
例4 “丰收1号”小麦的试验田是边长为a米的正方形减去一个边长为1米的正方形蓄水池后余下的部分,“丰收2号”小麦的试验田是边长为(a-1)米的正方形,两块试验田的小麦都收获了500千克。
(1)哪种小麦的单位收获了500千克。
(2)高的单位面积产量是低的单位面积产量的多少倍?
此内容正在抓紧时间编辑中,请耐心等待
王老师
女,中教高级职称
省优秀教师,模范共产党员,学校先进工作者。在教数学的同时,她也是和同学们一起学数学,一起用数学。
