【此视频课程与人教版第16课的知识点相同,同样适用于鲁教版第1课,敬请放心学习。】
课程内容:
《分式的加减法》
问题1:甲工程队完成一项工程需要n天,乙工程队要比甲工程队多用3天才能完成这项工程,两队共同工作一天完成这项工程的几分之几?
问题2:2001年,2002年,2003年某地的森林面积(单位:公顷)分别是S1,S2,S3。2003年与2002年相比,森林面积增长率提高了多少?
★回顾与思考
(1)2/7+3/7 (2)2/7-3/7 
即:同分母分式相加减,分母不变,把分子相加减。
(3)2/3+1/4 (4)2/3-1/4
即:异分母分式相加减,先通分,变为同分母的分式,再加减。
例1.计算:
做一做:尝试完成下列各题:
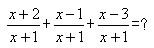
(1)
(2)
例2.计算 
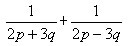
试一试:计算
(1)
(2)
练一练:1.下列运算对吗?如不对,请改正:
(1)
(2)
2.计算:
(1)
(2)
例3.物理学上的应用
在图中的电路中,已测定CAD支路的电阻是R1欧姆,又知CBD支路的电阻R2比R1大50欧姆,根据电学的有关规律可知总电阻R与R1、R2满足关系式如下。试用含有R1的式子表示总电阻R。
例4.计算:
课后练习:
1.
2.
此内容正在抓紧时间编辑中,请耐心等待
王老师
女,中教高级职称
省优秀教师,模范共产党员,学校先进工作者。在教数学的同时,她也是和同学们一起学数学,一起用数学。
