课程内容
七年级数学下册第10章《一次方程组》10.1 认识二元一次方程组
情景导航
雄伟的长城是中华民族的象征,长城东起鸭绿江,西达嘉峪关,全长7300千米,其中东段从鸭绿江到山海关,西段从山海关到嘉峪关,西段比东段长6100千米。长城的东、西段各长多少千米?
标出已知量,未知量,等量关系
用我们学过的列一元一次方程解
解:设东段长为x千米,则西段长为(x+6100)千米
列方程为
x+(x+6100)=7300
这个方程有什么特点?
如果设长城东段的长为x千米,西段的长为y千米,根据等量关系:
东段的长+西段的长=7300千米,可列方程x+y=7300
西段的长-东段的长=6100千米,可列方程y-x=6100
这两个方程有什么特点?
这两个方程,有以下特点:
1.两边都是整式
2.都有两个未知数
3.并且所含未知数的项的次数都是一次。
知识点1:二元一次方程
两边都是整式,含有两个未知数,并且含未知数的项都是一次的方程叫做二元一次方程。
下列方程是二元一次方程的有:
(1)x+y+2z=6 ×
(2)xy+4y-5y=9 ×
(3)2x-5=3y+2x ×
(4)x=y √
(5)3x²-2y²=10 ×
(6)2x-3y ×
(7)3x+5=x-2y √
(8)1/x-1/y=3 ×
两边都是整式,含有两个未知数,并且含未知数的项都是一次的方程叫做二元一次方程。
知识点2:二元一次方程的解
当x=1,y=2时,方程x+y=3的左右两边有什么特征?
适合二元一次方程的一对未知数的值,叫做这个二元一次方程的解。
判断后面括号中给出的x、y的值是否是前面方程的解
(1)2x-3y=6(x=0,y=4) ×
(2)5x+2y=8(x=2,y=-1) √
(3)2y=4+x (x=2,y=2) ×
知识点3:二元一次方程组
一般地,由几个一次方程组成的一组方程,叫做一次方程组!
含有两个未知数的一次方程组叫做二元一次方程组。
思考:方程组两方程中的同一字母表示同一个量吗?
x+y=7300 (1)
y-x=6100 (2)
这样就构成了一个二元一次方程组
思考:
1、二元一次方程组中的每个方程都必须是二元一次方程吗?
2、二元一次方程组在书写上有什么要求?两个方程中相同未知数表示相同的量!(结合情景导航)
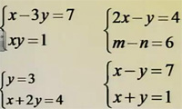
判断下列方程组哪些是二元一次方程组,为什么?
2、

知识点4:二元一次方程组的解
1.满足方程,x+y=2的x、y的值
| x |
-1 |
0 |
1 |
2 |
... |
| y |
3 |
2 |
1 |
0 |
... |
2.满足方程,x-y=2的x、y的值
| x |
-1 |
0 |
1 |
2 |
... |
| y |
-3 |
-2 |
-1 |
0 |
... |
_

_既是方程x+y=2的解,也是方程x-y=2的解,也就是说是这两个方程的公共解,我们就把它叫做这个二元一次方程组的解。
已知x与y的三对值:
(1)其中哪几对值是方程x-3y=3的解?哪几对值是方程3x-10y=5的解?
(2)哪对值是方程组

的解?
巩固检测
1.下列各式中,是二元一次方程的是(C)
A.x+2y=3z B.xy=1 C.x+y=1 D.x-y²=2008
2.关于二元一次方程4x+5y=13的解,下列说法正确的是(C)
A.只有一个解 B.有两个解
C.有无数个解 D.任何一组有理数都是它的解
3.下列方程组中是二元一次方程组的有(1、3)。
巩固提升
1.已知二元一次方程x-5y=30.
(1)用关于x的代数式表示y。
y=-6+1/5x
(2)用关于y的代数式表示x。
x=30-x/-5
2.已知二元一次方程5x+(k-1)y=8的一个解是,

求k的值。
解:把

代入到方程中得:
5-3(k-1)=8
解之得,k=0
4.方程

是关于x、y二元一次方程,则m=____,n=____。
5.已知二元一次方程5x+(k-1)y=8的一个解是,

求k的值。
写出一个二元一次方程组,使

是所写方程组的解。