首页 > 人教版 > 初二 > 数学 > 上学期 > 正文

八年级数学上册第15章《分式》15.3 分式方程 复习

点赞 收藏 评价 测速
课堂提问

2021年人教版八年级数学上册第15章《分式》15.3 分式方程 复习

一、单选题

1.下列关于x 的方程中,是分式方程的是(    )
A.
B.
C.
D.

查看参考答案
【参考答案】:B

2.将分式方程去分母,得到正确的整式方程是(    )
A.1-2x=3
B.x-1-2x=3
C.1+2x=3
D.x-1+2x=3

查看参考答案
【参考答案】:B

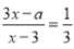
3.若x=-3是分式方程的解,则a的值为(    )
A.
B.
C.
D.

查看参考答案
【参考答案】:D

4.已知关于x 的分式方程的解是非负数,则m的取值范围是(    )
A.m>2
B.m≥2
C.m≥2且m≠3
D.m>2且m≠3

查看参考答案
【参考答案】:C

5.已知方程,且关于x的不等式组,只有4个整数解,那么b的取值范围是(    )
A.-4<b≤-3
B.-4≤b<-3
C.2≤b<3
D.2<b≤3

查看参考答案
【参考答案】:D

6.方程2x+1=3(x-5)+6的解是(    )
A.x=2
B.x=5
C.x=10
D.x=12

查看参考答案
【参考答案】:C

二、填空题

1.若分式方程:无解,则k=.

查看参考答案
【参考答案】:1或3

2.分式方程的解是.

查看参考答案
【参考答案】:x=9

3.分母中含有的方程叫做分式方程.

查看参考答案
【参考答案】:未知数

4.已知关于x的分式方程的解是非负数,那么a的取值范围是.

查看参考答案
【参考答案】:a≥1且a≠9

5.如果,那么m=.

查看参考答案
【参考答案】:2

6.分式方程的解是.

查看参考答案
【参考答案】:x=2

此内容正在抓紧时间编辑中,请耐心等待

崔老师

男,中教高级职称

市优秀教师、骨干教师,数学学科带头人。在教学中注重学生自学能力和数学思维能力的培养,教学成绩突出。

八年级数学上册第14章《整式的乘法与因式分解》14.3.2 公式法(第二课时)

八年级数学上册第14章《整式的乘法与因式分解》14.3.2 公式法(第一课时)

八年级数学上册第14章《整式的乘法与因式分解》14.3.1 提公因式法

八年级数学上册第13章《轴对称》13.3.1 等腰三角形 (第一课时)

八年级数学上册第13章《轴对称》13.2 画轴对称图形

八年级数学上册第13章《轴对称》13.1.2 线段的垂直平分线的性质 (第二课时)

八年级数学上册第13章《轴对称》13.1.1轴对称

八年级数学上册第15章《分式》复习(第二课时)

八年级数学上册第15章《分式》复习(第一课时)

正在播放

八年级数学上册第15章《分式》15.3 分式方程 复习

八年级数学上册第14章《整式的乘法与因式分解》14.2.2 完全平方公式(第二课时)

八年级数学上册第14章《整式的乘法与因式分解》14.2.2 完全平方公式(第一课时)

八年级数学上册第14章《整式的乘法与因式分解》14.2.1 平方差公式

八年级数学上册第14章《整式的乘法与因式分解》14.1 整式的乘法 复习课

八年级数学上册第14章《整式的乘法与因式分解》14.1.4 整式的乘法 (第四课时)

八年级数学上册第14章《整式的乘法与因式分解》14.1.4 整式的乘法 (第三课时)

八年级数学上册第14章《整式的乘法与因式分解》14.1.4 整式的乘法 (第二课时)

八年级数学上册第14章《整式的乘法与因式分解》14.1.4 整式的乘法 (第一课时)

八年级数学上册第14章《整式的乘法与因式分解》14.1.3 积的乘方

八年级数学上册第14章《整式的乘法与因式分解》14.1.2 幂的乘方

评论

点此登录 后即可畅所欲言

[湖南省长沙市] very good

tz386468

2020-08-27 11:42:44

[四川省南充市] very good

好好学习

2020-08-06 13:47:12

[四川省南充市] very good

好好学习

2020-08-06 13:40:09

联系我们 版权说明 帮助中心 在线客服

©2016 同桌100 All Rights Reserved