2021年人教版物理九年级全一册 18.3测量小灯泡的电功率
一、单选题
1.下列各电学实验,都可以通过调节滑动变阻器来测量多组电流和电压。其中为了减小实验误差的是( )
A.电阻的大小与哪些因素有关
B.电流的大小与哪些因素有关
C.用“伏安法”测电阻器电阻
D.用“伏安法”测小灯泡功率
2.为了测小灯泡的额定功率,在具体实验操作中,手和眼的分工应该是( )
A.手按开关,眼观电流表
B.手移动变阻器的滑片,眼观电流表
C.手移动变阻器的滑片,眼观电压表
D.手移动变阻器的滑片,眼看小灯泡是否发光
3.某同学利用如图所示电路,测量额定电压为2.5 V小灯泡的额定功率,下列说法错误的是( )

B.闭合开关后,小灯泡不发光,一定是小灯泡灯丝断了
C.当电压表示数为2.5 V时,测出通过小灯泡的电流,可算出小灯泡的额定功率
D.实验还可得知,小灯泡的实际功率越大,小灯泡越亮
4.在做“测定小灯泡额定功率”的实验中,小明在连接好电路后,他无论怎样调节滑动变阻器的滑片,电流表和电压表示数都不变,而且小灯泡很亮,其原因可能是( )
A.滑动变阻器的总阻值太大
B.小灯泡被短路
C.滑动变阻器没有接入电路
D.电路中有断路
5.一只灯泡的额定电压为220 V,为了确定该灯泡的额定功率,下述方案中最佳的为( )
A.接入220 V电路中使之正常发光,再与有标记额定功率的灯泡比较亮度进行判断
B.在实验室里用伏安法测出灯丝电阻,再用公式P=U²/R进行计算
C.接入220 V电路中,测出通过灯泡的电流I,再用公式P=UI进行计算
D.直接与其他标有220 V的灯泡从外观上比较确定
二、填空题
3.在“怎样使两个灯泡都亮起来”的活动中,小明采用如图所示的方法连接,结果两个灯泡都亮了,这时,两灯的连接方式是。若电源电压为3 V,灯泡的规格均为“2.2 V 0.22 A”,则每个灯泡的电阻是Ω,每个灯泡的实际功率是W。
三、按要求做题
1.在“测量小灯泡的电功率”实验中,电源电压保持不变,待测小灯泡的额定电压为2.5V。
(1)为了比较精确的测量小灯泡的电功率,电压表的量程应选________V;
(2)实验时,无论怎样移动滑动变阻器的滑片,小灯泡都不亮,电压表有示数,电流表示数几乎为零,则故障可能是_______________(选填“电流表与导线”或“灯泡与灯座”)接触不良;
(3)排除故障后,移动滑动变阻器滑片,当电压表示数是2.5V,电流表示数如图所示,则小灯泡的额定功率是________W;

(4)测量结束后,应先________,再拆除导线,最后整理好器材;
(5)某实验小组在处理实验数据时,采用描点法,在坐标纸上作出了如图所示的I﹣U图象,请指出作图过程中存在的错误或不足之处是______________________________________;
(6)某实验小组设计了如图所示的电路(还缺一根导线连接才完整),可以测量小灯泡的额定功率,其中R为定值电阻。请写出本实验主要测量步骤及所测物理量:
①电路连接完整后,开关S₂断开,S₁、S₃闭合,调节滑动阻器滑片,使电压表示数为U额;
②______________________________,开关S₃断开,S₁、S₂闭合,记录电压表的示数U₂;
③小灯泡额定功率的表达式P额=____________(用R、U额、U₂表示)。
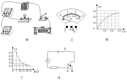
2.实验老师为“测量小灯泡额定功率”准备了如下器材:电源(电压恒为6V)开关、电压表和电流表各一只、额定电压为2.5V的待测小灯泡(电阻约为10Ω)、滑动变阻器(“20Ω 1A”)、导线若干。

(1)请用笔画线代替导线,将图甲中的实物图连接完整(要求:滑片向右移动灯泡变亮)。
(2)闭合开关前电流表的指针如图乙所示,其原因是____________________。
(3)故障排除后,调节滑动变阻器的滑片,并绘制了小灯泡的电流随其两端电压变化的关系如图丙所示,则小灯泡的额定功率为_________W。
(4)小陈同学为了验证电流跟电阻的关系,他又借到了一个滑动变阻器(50Ω 0.5A)和五个定值电阻(5Ω、10Ω、15Ω、20Ω、25Ω),其余器材不变。用定值电阻更换甲图中的灯泡,小陈同学得到如图丁所示的电流随定值电阻变化的图象,则实验中他所用的滑动变阻器是_______(选填字母:A.20Ω 1A B.50Ω 0.5A),若某次实验中滑动变阻器连入的阻值为14Ω,则所用定值电阻的阻值为_______Ω。
(5)下课前老师布置了一道课后作业。要求:在只有下列实验器材的前提下测出未知定值电阻Rₓ的阻值。实验器材:电阻Rₓ、电源(电压恒定但未知)、滑动变阻器(已知最大阻值为R₀)、电流表、开关、导线若干。
小张同学设计了如图戊所示的电路图,用以下步骤测Rₓ的阻值。
①闭合开关S,移动滑片P至B端,记下电流表示数I₁;
②移动滑片P至A端,记下电流表示数I₂(I₂未超过电流表的量程);
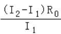
③请帮他写出Rₓ的表达式:Rₓ=__________(用字母R₀、I₁、I₂表示)。
此内容正在抓紧时间编辑中,请耐心等待
邢老师
男,中教高级职称
市骨干优秀教师,市物理教学改革科研组负责人,注重教学改革及教育实践,具有丰富的物理基础教学经验。




。
。