课程内容:
《整式的除法》
例1:木星的质量约是1.9×1024吨,地球的质量约是5.98×1021吨,你知道木星的质量约为地球质量的多少倍吗?
(1.90×1024)÷(5.98×1021)
讨论:(1)计算(1.90×1024)÷(5.98×1021),说说你计算的依据是什么?
(2)你能利用(1)中的方法计算下列各式吗?
8a3÷2a; 6x3y÷3xy;12a3b2x3÷3ab2
(3)你能根据(2)说说单项式除以单项式的运算法则吗?
归纳:单项式相除,把系数与同底数幂分别相除作为商的因式,对于只在被除式,对于只在被除式例含有的字母,则连同它的指数作为商的一个因式。
例2:计算
(1)28x4y2÷7x3y; (2)-5a5b3c÷15a4b
练习:
1.计算
(1)10ab3÷(-5ab); (2)-8a2b3÷6ab2;
(3)-21x2y4÷(-3x2y3); (4)(6×108)÷(3×105)
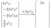
2.把图中左边括号里的每一个式子分别除以2x2y,然后把商式写在右边括号里。
讨论:计算下列各式,说说你是怎样计算的?
(1)(am+bm)÷m;(2)(a2+ab)÷a;(3)(4x2y+2xy2)÷2xy
归纳:多项式除以单项式,先把这个多项式的每一项除以这个单项式,再把所得的商相加。
例3:计算:
(1)(12a3-6a2+3a)÷3a;
(2)(21x4y3-35x3y2+7x2y2)÷(-7x2y);
(3)[(x+y)2-y(2x+y)-8x]÷2x
练习:计算
(1)(6xy+5x)÷x; (2)(15x2y-10xy2)÷5xy;
(3)(8a2-4ab)÷(-4a); (4)(25x3+15x2-20x)÷(-5x)。
此内容正在抓紧时间编辑中,请耐心等待
尚老师
男,中教高级职称
长期从事中学数学教学工作,重视学生对知识的理解与运用,市优秀教师、骨干教师,数学学科带头人。
