
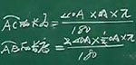
.以BC的中点E为圆心画弧
与AD相切,切点为P,点M,N分别在AB与CD上.求扇形EMN的面积.


的长相等.

的圆心依次是A,B,C.

此内容正在抓紧时间编辑中,请耐心等待
崔老师
男,中教高级职称
市优秀教师、骨干教师,数学学科带头人。在教学中注重学生自学能力和数学思维能力的培养,教学成绩突出。

.以BC的中点E为圆心画弧
与AD相切,切点为P,点M,N分别在AB与CD上.求扇形EMN的面积.


的长相等.

的圆心依次是A,B,C.

此内容正在抓紧时间编辑中,请耐心等待
崔老师
男,中教高级职称
市优秀教师、骨干教师,数学学科带头人。在教学中注重学生自学能力和数学思维能力的培养,教学成绩突出。
九年级数学上册第4章《一元二次方程》4.1 一元二次方程(第一课时)
九年级数学上册第4章《一元二次方程》4.3 用公式法解一元二次方程(第一课时)
九年级数学上册第3章《对圆的进一步认识》综合练习(第四课时)
九年级数学上册第3章《对圆的进一步认识》综合练习(第三课时)
九年级数学上册第3章《对圆的进一步认识》综合练习(第二课时)
九年级数学上册第3章《对圆的进一步认识》综合练习(第一课时)
九年级数学上册第3章《对圆的进一步认识》3.7 正多边形与圆(复习与巩固)
九年级数学上册第3章《对圆的进一步认识》3.7 正多边形与圆(第二课时)
九年级数学上册第3章《对圆的进一步认识》3.7 正多边形与圆(第一课时)
正在播放
九年级数学上册第3章《对圆的进一步认识》3.6 弧长及扇形面积的计算(复习与巩固)
九年级数学上册第3章《对圆的进一步认识》3.6 弧长及扇形面积的计算
九年级数学上册第3章《对圆的进一步认识》3.4 直线与圆的位置关系(第一课时)
九年级数学上册第3章《对圆的进一步认识》3.3 圆周角(复习与巩固)
九年级数学上册第3章《对圆的进一步认识》3.3 圆周角(第三课时)
九年级数学上册第3章《对圆的进一步认识》3.3 圆周角(第二课时)
九年级数学上册第3章《对圆的进一步认识》3.3 圆周角(第一课时)
九年级数学上册第3章《对圆的进一步认识》3.2 确定圆的条件(复习与巩固)
九年级数学上册第3章《对圆的进一步认识》3.2 确定圆的条件(第二课时)
九年级数学上册第3章《对圆的进一步认识》3.2 确定圆的条件(第一课时)
九年级数学上册第3章《对圆的进一步认识》3.1 圆的对称性(复习与巩固)
评论
点此登录 后即可畅所欲言