课程内容
七年级数学上册第3章《有理数的运算》3.3 有理数的乘方(第二课时)
交流与发现
根据乘方的意义,填写下表:
| 10的乘方 |
表示的意义 |
运算结果 |
结果中0的个数 |
| 10² |
10×10 |
100 |
2 |
| 10³ |
10×10×10 |
1000 |
3 |
 |
10×10×10×10 |
10000 |
4 |
 |
10×10×10×10×10 |
100000 |
5 |
你发现了什么规律?
例:300 000 000与149 000 000 000怎样用10的乘方表示?
300 000 000=3×100 000 000=3×

149 000 000 000=1.49×100 000 000 000=1.49×

一个绝对值大于10的有理数可以记作

的形式,其中a是整数位数只有一位的数,n是正整数。这样的记法叫做科学记数法(scientific notation);
例3.用科学记数法表示下列各数:
(1)24 000 000 000;(2)-10 800 000
例4.下列用科学记数法表示的数,原来是什么数?
(1)2.5×

250000
(2)-5.37×

-537000000
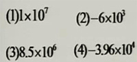
1.用科学记数法表示下列各数:
(1)10000 (2)800000 (3)-56000000 (4)-2030000000
2.下列用科学计数法表示的数,原来各是什么数?
在日常生活中,我们经常接触各种数。例如,世界上有7大洲,4大洋;太平洋的面积约为1.8亿平方千米;据测算,2003年8月27日18时,火星与地球的距离约为5575.8万千米。
这里7大洲、4大洋中的7和4,2003年8月27日18时中的2003,8,27,18,是与实际完全相符,那么这些数为准确数;1.8亿与5575.8万是由四舍五入得到的与实际相近的数,那么1.8亿与5575.8万为近似数。
一个近似数,四舍五入到哪一位,就说这个近似数精确到哪一位,那么1.8亿与5575.8万分别精确到哪一位呢?
例5.2010年我国国内生产总值为397983亿元。请用四舍五入法按下列要求分别取这个数的近似数,并用科学记数法表示出来。
(1)精确到十亿元 ; (2)精确到百亿元;
(3)精确到千亿元 ; (4)精确到万亿元。
解:(1)精确到十亿元是3.9798×

亿元
(2)精确到百亿元是3.980×

亿元。
(3)精确到千亿元是3.98×

亿元
(4)精确到万亿元是4.0×

亿元。
用科学记数法表示下列数据:
(1)牡丹自古以来就是中国的国花,被誉为“百花之王”。据估计,我国观赏牡丹的栽培面积约6700公顷,药用牡丹的栽培面积约为5000公顷,以每公顷15000株计算约为175500000株(精确到千位);
(2)据河南省陕县站的数据记录,黄河平均每年向中下游输沙量为1600000000吨(精确到亿吨)
用科学记数法表示下列各题中的数据(精确到百万位):
(1)被称为“地球之肺”的森林正以每年约16100000公顷的速度消失;
(2)每平方千米的地球表面上,一年从太阳得到的能量相当于燃烧130000000千克煤所产生的能量;
(3)约球的平均半径约为1737400米,离地球的平均距离为384400000米。
课堂小结
1.绝对值大于10的数可以记作a×

的形式,其中a是整数位数只有一位的数,n是正整数。
10的指数比原数的整数位少1
2.用四舍五入法按要求取近似数,并用科学记数法表示出来。