课程内容:
《用样本的数字特征估计总体的数字特征(2)》
复习回顾:
(1)如何通过频率分布直方图估计数字特征(中位数、众数、平均数)?
估计众数:频率分布直方图面积最大的方条的横轴中点数字。(最高矩形的中点)
估计中位数:中位数把频率分布直方图分成左右两边面积相等。
估计平均数:频率分布直方图中每个小矩形的面积乘以小矩形底边中点的横坐标之和。
例题:有甲、乙两种钢筋,现从中各抽取一个样本(如下表)检查它们的抗拉强度(单位:kg/mm2),通过计算发现,两个样本的平均数均为125。
甲:110 120 130 125 120 125 135 125 135 125
乙:115 100 125 130 115 125 125 145 125 145
哪种钢筋的质量较好?
由上图可以看出,乙样本的最小值100低于甲样本的最小值110,乙样本的最大值145高于甲样本的最大值135,这说明乙种钢筋没有甲种钢筋的抗拉强度稳定。
通过比较可以看出,乙的极差较大,数据点较分散,甲的极差小,数据点较集中,这说明甲比乙稳定。运用极差对两组数据进行比较,操作简单方便,但如果两组数据的集中程度差异不大时,就不容易得出结论。
例题:甲、乙两名射击手的测试成绩统计如下:
甲命中环数:7 8 8 8 9
乙命中环数:10 6 10 6 8
(1)请分别计算两名射手的平均成绩;
(2)请根据这两名射击手的乘积在下图中画出折线统计图;
(3)现要挑选一名射击手参加比赛,若你是教练,你认为挑选哪一位比较适宜?为什么?
思考:能用上面的方法比较两组数据的波动情况吗?
如果将每次的差都平方再求和,能解决上面的问题吗?
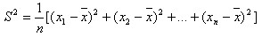
标准差:通常改用如下公式来计算标准差:

意义:标准差用来表示稳定性。
标准差越大,数据的离散程度就越大,也就越不稳定。
标准差越小,数据的离散程度就越小,也就越稳定。
从标准差的定义可以看出,标准差s≥0,当s=0时,意味着所有的样本数据都等于样本平均数。
方差:从数学的角度考虑,人们有时用标准差的平方s2——方差来代替标准差,作为测量样本数据离散程度的工具:
计算公式:
一般步骤:求平均→再求差→然后平方→最后再平均
例题:为了考察甲、乙两种小麦的长势,分别从中抽出10株苗,测得苗高如下(单位:cm):
甲:12 13 14 15 10 16 13 11 16 11
乙:11 16 17 14 13 19 6 8 10 16
问哪种小麦长得比较整齐?
此内容正在抓紧时间编辑中,请耐心等待
荣老师
男,中教高级职称
对高中数学的基本概念和整体知识结构有清晰地把握,从高考的高度分析讲解各大知识板块。
