首页 > 人教版 > 初二 > 数学 > 上学期 > 正文

八年级数学上册第15章《分式》15.3 分式方程(第三课时)

点赞 收藏 评价 测速
课堂提问

2021年人教版八年级数学上册第15章《分式》15.3 分式方程

一、单选题

1.A,B两地相距80千米,甲由A去B,1小时后,乙用1.5倍的速度从A地出发追甲,追到B地时,甲已早到20分钟,则甲的速度为(    )
A.40千米/小时
B.45千米/小时
C.50千米/小时
D.60千米/小时

查看参考答案
【参考答案】:A

2.关于方程的根,下列说法正确的是(    )
A.x=0是它的增根
B.x=-1是它的增根
C.原方程无解
D.x=1是它的根

查看参考答案
【参考答案】:C

3.某顾客第一次在商店买若干个小商品花去5元;第二次再去买该小商品时,发现每一件(12个)降价0.8元,他第二次购买该小商品的数量是第一次的2倍,第二次共花去2元,该顾客第一次买的小商品的个数是(    )
A.5
B.20
C.40
D.60

查看参考答案
【参考答案】:D

4.某超市第一次用3000元购进某种干果销售,第二次又调拨9000元购进该种干果,但第二次的进价比第一次进价提高了20%,购进干果数量是第一次的2倍还多300千克,如果超市先按每千克9元的价格出售,当大部分干果售出后,最后的600千克按原售价的7折售完.超市两次销售这种干果共盈利(    )元.
A.5280
B.3600
C.2500
D.6120

查看参考答案
【参考答案】:A

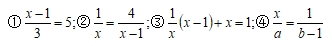
5.下列关于x的方程:

其中,是分式方程的有(    )个.
A.1
B.2
C.3
D.4

查看参考答案
【参考答案】:B

6.分式方程的解为(    )
A.x=2
B.x=-2
C.x=1
D.无解

查看参考答案
【参考答案】:B

7.若关于x的分式方程的解为非负数,则a的取值范围是(    )
A.a≥1
B.a>1
C.a≥1且a≠4
D.a>1且a≠4

查看参考答案
【参考答案】:C

二、填空题

1.若关于x的分式方程有增根,则m的值是.

查看参考答案
【参考答案】:-1

2.方程中含有分式,并且分母中含有的方程叫做分式方程.

查看参考答案
【参考答案】:未知数

3.分式的和为4,则x的值为.

查看参考答案
【参考答案】:3

4.分式方程的解为.

查看参考答案
【参考答案】:x=2

5.分式方程的解是.

查看参考答案
【参考答案】:x=3

三、解答题

某工程队修建一条长1200米的道路,采用新的施工方式,工作效率提升了50%,结果提前4天完成任务.
(1)求这个工程队原计划每天修建道路多少米?
(2)在这项工程中,如果要求工程队提前2天完成任务,那么实际平均每天修建道路的工作效率比原计划增加多少?

查看参考答案
【参考答案】:解:(1)设原计划每天修建道路x米,
根据题意,得解得x=100,
经检验x=100是原方程的解.
答:原计划每天修建道路100米.
(2) 设实际平均每天修建道路的工效比原计划增加y%,
根据题意,得,解得y=20,
经检验y=20是原方程的解.
答:实际平均每天修建道路的工作效率比原计划增加20%.

此内容正在抓紧时间编辑中,请耐心等待

崔老师

男,中教高级职称

市优秀教师、骨干教师,数学学科带头人。在教学中注重学生自学能力和数学思维能力的培养,教学成绩突出。

八年级数学上册第14章《整式的乘法与因式分解》14.1.3 积的乘方

八年级数学上册第14章《整式的乘法与因式分解》14.1.2 幂的乘方

八年级数学上册第14章《整式的乘法与因式分解》14.1.1 同底数幂的乘法

八年级数学上册第12章《全等三角形》复习课

八年级数学上册第12章《全等三角形》12.3 角的平分线的性质

八年级数学上册第12章《全等三角形》12.2 全等三角形的判定 (第四课时)

八年级数学上册第12章《全等三角形》12.2 全等三角形的判定(第三课时)

八年级数学上册第12章《全等三角形》12.2 全等三角形的判定 (第二课时)

八年级数学上册第12章《全等三角形》12.2 全等三角形的判定 (第一课时)

正在播放

八年级数学上册第15章《分式》15.3 分式方程(第三课时)

八年级数学上册第15章《分式》15.3 分式方程(第二课时)

八年级数学上册第15章《分式》15.3 分式方程(第一课时)

八年级数学上册第15章《分式》15.2 分式的运算--复习

八年级数学上册第15章《分式》15.2.3 整数指数幂

八年级数学上册第15章《分式》15.2.2 分式的加减(第二课时)

八年级数学上册第15章《分式》15.2.2 分式的加减(第一课时)

八年级数学上册第12章《全等三角形》12.1全等三角形

八年级数学上册第11章《三角形》11.3 多边形、多边形的内角和

八年级数学上册第11章《三角形》11.2.2 三角形的外角

八年级数学上册第11章《三角形》11.1.2 三角形的高、中线、与角平分线

评论

点此登录 后即可畅所欲言

[河南省商丘市] 好

182****6003

2020-02-05 10:57:54

联系我们 版权说明 帮助中心 在线客服

©2016 同桌100 All Rights Reserved