课程内容:
《算法的概念》
复习:
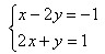
问题1:求二元一次方程
的解。
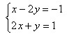
问题2:用加减消元法解二元一次方程组
的具体步骤是什么?
问题3:写出
(a1b2-a2b1=0)的求解步骤。
问题4:到底什么是算法?
在数学中,算法通常是指按照一定规则解决某一类问题的明确和有限的步骤。
现在,算法通常可以编成计算机程序,让计算机执行并解决问题。
例题:变式1:设计一个算法,判断35是否为质数。
变式2:设计一个算法,判断1997是否为质数。
思考:一般地,判断任意一个大于2的整数是否为质数的算法步骤如何设计?
例2.用二分法设计一个求方程x2-2=0(x>0)的近似解得算法。
练习1:有人对哥德巴赫猜想“任何大于4的偶数都能写成两个质数之和”设计了如下操作步骤:
第一步,检验6=3+3
第二步,检验8=3+5
第三步,检验10=5+5
……
利用计算机无穷地进行下去!请问:这是一个算法吗?
练习2:任意给定一个大于1的正整数n,设计一个算法求出n的所有因数。
本节重点:
1.体会算法的思想,理解算法的含义,了解算法的特征,能用自然语言描述算法。
2.培养学习的逻辑思维能力和问题解决的条理性。
本节难点:
根据实例抽象概括算法的概念和特点;依据概念设计算法。
易考点:
通过分析具体问题过程与步骤,建立算法的概念,了解算法的含义,体会算法的思想,能用自然语言描述解决具体问题的算法。
