课程内容:
《函数的概念(2)》
复习:1.什么叫函数?用什么符号表示函数?
2.什么是函数的定义域?值域?
3.函数f(x)=√1-│x│ 的定义域、值域如何?分别怎样表示?
区间定义:
设a、b是两个实数,而且a<b,我们规定:
(1)满足不等式a≤x≤b的实数x的集合叫做闭区间,表示[a,b];
(2)满足不等式a<x<b的实数x的集合叫做开区间,表示为(a,b);
(3)满足不等式a≤x<b或a<x≤b的实数x的集合叫做半开半闭区间,分别表示为[a,b),(a,b]。
注意:这里的实数a与b都叫做相应区间的端点。
定义:实数集R可以用区间表示为(-∞,+∞)。“∞”读作“无穷大”,“-∞”读作“负无穷大”,“+∞”读作“正无穷大”。
思考:x≥a,x>a,x≤b,x<b的实数x的集合用区间怎么表示?
例题1:将下列集合用区间表示出来。
(1){x│2x-1≥0};
(2){x│x<-4,或-1<x≤2}
1.求函数的定义域方法:
(1)f(x)是整式时,则函数的定义域为R。
(2)f(x)是分式时,则函数定义域为使分母不等于0的实数的集合。
(3)二次根式时,则函数定义域是使根号内的式子大于0的实数的集合。
(4)如果f(x)是由几个数学式子构成时,那么函数的定义域是使各部分式子都有意义的实数集合。
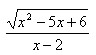
例题2:1.求函数f(x)=
的定义域。
练习1:1.求函数f(x)=
的定义域( )。
A.[-1,1] B.(-∞,-1]∪[1,+∞) C.[0,1] D.{-1,+1}
2.复合函数求定义域的几种题型。
题型一:已知f(x)的定义域,求f[g(x)]的定义域。
例题:若f(x)的定义域是[0,2],求f(2x-1)的定义域。
练习2:若f(x)的定义域是[0,2],求f(x2)的定义域。
练习3:已知函数f(x)的定义域为(a,b),且b-a>2,则g(x)=f(3x-1)-f(3x+1)的定义域为___________________。
题型二:已知f[g(x)]的定义域,求f(x)的定义域。
例题3:已知f(2x-1)的定义域(-1,5],求f(x)的定义域。
练习4:已知f(2x-1)的定义域(-1,5],求f(2-5x)的定义域。
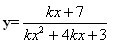
题型三:已知函数的定义域,求含参数的取值范围。
例题4:当k为何值时,函数
的定义域是一切实数?
此内容正在抓紧时间编辑中,请耐心等待
孙老师
女,中教高级职称
优秀教师,高级教师职称。善于引导、启发学生,培养学生的逻辑思维,激发孩子对数学学习的兴趣。
