课程内容:
《函数的表示法(3)》
[回顾与总结]:函数表示法的三种方法是什么?最常用的方法是什么?
答:函数表示方法有解析式法、列表法、图象法三种,解析式法是最常用的表示方法。
例1.已知f(x)=2x,
,求g(x)的解析式。
说明:这一方法,根据f(x)的定义而直接求g(x)的解析式,称为直接法。
例2.已知f(x)是x的一次函数,且f[f(x)]=4x-1,求f(x)。
说明:象这样已知f(x)的结构形式时,可以先设成其结构式(如:一次函数设为ax+b,二次函数设为ax2+bx+c,其中a≠0)再根据条件求出相应的系数,代回到原设的式子中,而得出解析式,这一方法称待定系数法。
例3.已知f(2x+1)=5x+3,求f(x)。
说明:该题因为左边自变量为2x+1,右边也变成含有它的式子,这一方法称拼凑法,拼凑的技巧是“先写后算”,即先写上要拼凑的结构2x+1,再看多算了什么,进行加、减、乘、除四则运算,以保持式子的值相等。
[方法二]说明:这一方法是将2x+1看作一个变量t,称代换法,这也是已知f[g(x)]的解析式求f(x)解析式的一种方法。
练习:1.已知
,求f(x)的解析式。
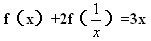
例4.对一些非零实数x,有
,求f(x)。
说明:当发现“f”作用下,仅有互为倒数或相反数时,可以用代换法得到另一式(其中倒数关系时,以
代替x;相反数关系时,以-x代替x),再消去另一式f(
)或f(-x)即可得到f(x)的解析式,这一方法与解方程组方法类似,称消去法。
练习:已知f(x)+2f(-x)=3x+x2,求f(x)。
例5.在边长为4的正方形ABCD的边上有一点P,沿着折线BCDA由点B向点A运动,设P点运动的路程为x,三角形APB面积为y,写出y与x的函数解析式。
此内容正在抓紧时间编辑中,请耐心等待
孙老师
女,中教高级职称
优秀教师,高级教师职称。善于引导、启发学生,培养学生的逻辑思维,激发孩子对数学学习的兴趣。
