课程内容:
《对数与对数运算(1)》
引例:1.一尺之棰,日取其半,万世不竭。(1)取5次,还有多长?(2)取多少次,还有0.125尺?
2.问题:设2005年我国的国民生产总值为a亿元,如每年平均增长8%,那么经过多少年国民生产总值是2005年的2倍?
定义:一般地,如果a(a>0,a≠1)的b次幂等于N,就是ab=N,那么数b叫做以a为底N的对数,记作logaN=b,a叫做对数的底数,N叫做真数。
二、对数式与指数式的互化:

思考:(1)为何对数的定义中要求底数a>0且a≠1?
(2)是否所有的实数都有对数呢?
三、两个重要的对数:
1.常用对数:以10为底的对数,并把log10N简记作lgN。
2.自然对数:以无理数e=2.71828…为底的对数,并把logaN简记作lnN。
例1.将下列指数式写成对数式:
(1)54=625→
(2)2-6=1/64→
(3)3a=27→
(4)(1/3)m=5.73→
例2.将下列对数式写成指数式:
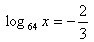
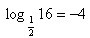
(1)
→
(2)log2128=7→
(3)lg0.01=-2→
(4)ln10=2.303→
对数的基本性质几点说明:
1.在对数式中N>0(负数与零没有对数)
2.对任意a>0且a≠1,都有a0=1,∴loga1=0同样易知logaa=1
3.如果把ab=N中的b写成logaN,则有alogaN=N(对数恒等式)
4.logaaN=N(对数恒等式)
例3.1.(1)log927;(2)
2.求x的值:①
;②logx8=6;③-lne2=x
练习:1.给出四个等式:(1)lg(lg10)=0;(2)lg(lne)=0;(3)若lgx=10,则x=10;(4)若lnx=e,则x=e2。其中正确的是________。
2.求值:log31+log33+log327=
lne+lg100=
巩固训练:1.易知loga2=x,loga3=y,求a3x+2y的值。
2.使logx-13-x有意义的x的取值范围。
3.求下列各式的值:
2-log23;log3312;31-2log34;log3333
此内容正在抓紧时间编辑中,请耐心等待
孙老师
女,中教高级职称
优秀教师,高级教师职称。善于引导、启发学生,培养学生的逻辑思维,激发孩子对数学学习的兴趣。
