x2-6x+21的图象,并讨论一般地怎样画二次函数y=ax2+bx+c(a≠0)的图象。y=
x2-6x+21也能化成这样的形式吗?
x2-6x+21=
(x-6)2+3
x2-6x+21的顶点是(6,3),对称轴是直线x=6| x | … | 3 | 4 | 5 | 6 | 7 | 8 | 9 | … |
y= x2-6x+21 |
… | 7.5 | 5 | 3.5 | 3 | 3.5 | 5 | 7.5 | … |

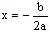
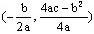
,图象顶点为
,对称轴是直线
。
x2-4x+3张老师
女,中教高级职称
优秀教师,市级骨干教师、“教学标兵”、劳动模范,市数学教学与研究科研组带头人,注重教学改革与实践。
